饮茶知识
饮茶知识
饮茶知识
优选机型深耕对茶园土壤及茶叶品质影响
- 作者:
- 发布时间:2026-02-03 02:04:26
- 点击:
合理的耕作方式不仅能够改善茶园土壤物理结构,还能平衡土壤的三相比,从而提高土壤养分的有效性,促进茶树对养分的吸收,进而促进茶叶提质增产。

图源:豆包AI
不同耕作方式对茶园土壤物理性状及茶叶品质会有什么影响呢?
本期以传统免耕法为对照,对比分析了优选机型深耕(15~20cm)、人工浅锄(约10cm)、人工挖沟(15~20cm)3种耕作方式对土壤容重、总孔隙度及持水能力等物理性状的影响,同时,还探讨了这些耕作方式对茶树养分状况及春茶品质的影响。
结论抢先看~
优选机型深耕处理组对提升茶叶游离氨基酸和咖啡碱含量,以及提高土壤孔隙度、有效降低土壤容重具有重要作用。
耕作对茶叶品质的影响并非一成不变,在第1轮次春茶中,优选机型深耕处理显著降低了一芽二叶茶多酚含量,而所有耕作方式都提升了其游离氨基酸含量。第2轮次春茶中,人工挖沟及人工浅锄处理显著提高了游离氨基酸含量,但在第3轮次春茶中,所有耕作方式都导致了游离氨基酸含量的下降。
茶园耕作需要综合考虑耕作方式、耕作时间以及其他栽培技术,以实现最佳效果。
01耕作方式对土壤持水能力的影响
土壤水分是构成土壤的关键要素之一,也是衡量土壤肥力的重要指标,主要包含吸湿水、毛管水和重力水3种形态。
结果显示,土壤持水能力随着土壤耕作深度的增加而呈现明显的降低趋势,优选机型深耕(62.4%)和人工挖沟(64.8%)显著低于人工浅锄(73.6%)与免耕(74.6%)处理。这一结果表明,采用免耕或浅锄的方式耕作,能够使土壤持水能力维持在较高水平,有利于促进土壤水分的有效利用。

不同耕作施肥方式对土壤持水量的影响
02耕作方式对土壤容重和孔隙度的影响
耕作方式对土壤结构和功能具有显著的影响,特别是在20~30cm的土层深度范围内。土壤孔隙度是决定土壤水分、空气储存能力,以及养分转化效率的关键因素。良好的土壤通气状况对于氧气供应、土壤呼吸作用、微生物群落的丰度及酶活性均具有直接的促进作用。
不同耕作方式处理土壤容重和总孔隙度差异较大。免耕处理的土壤容重最高,达到1.31g/cm3,而人工挖沟与优选机型深耕处理耕作层土壤容重显著低于免耕与人工浅锄处理。
人工挖沟及优选机型深耕处理的土壤孔隙度相近,分别为58.6%和58.2%,而人工浅锄及免耕处理的土壤孔隙度分别为51.58%和50.51%,显著低于前两种耕作方式。
由此可见,优选机型深耕和人工挖沟处理能够有效降低茶园土壤容重、增加土壤总孔隙度,从而改善土壤的物理性质和生物活性,为茶树根系的生长和土壤生态系统健康提供更加有利的条件。说明通过优化耕作技术,可以促进土壤结构的改善,提高土壤的保水和通气能力,进而提升土壤的生产力和生态服务功能。

不同耕作施肥方式对耕作层土壤容重及总孔隙度的影响
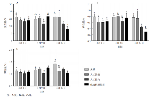
03耕作方式对3轮次春季一芽二叶氮磷钾含量的影响
通过对3轮次一芽二叶的养分含量进行测定,明确不同耕作方式对茶树养分含量的影响,结果表明,第1轮次春茶各耕作处理间氮磷钾养分含量没有表现出显著的差异。
第2轮次春茶,人工挖沟处理的氮含量显著低于人工浅锄与优选机型深耕处理,而与免耕处理差异并不显著;人工挖沟处理的钾含量则显著低于其他3个处理。
第3轮次春茶人工挖沟处理及优选机型深耕处理氮和磷的含量显著低于人工浅锄和免耕处理;另外免耕处理钾含量显著高于其他所有处理方式,而优选机型深耕处理的钾含量最低。
因此,耕作方式对土壤养分动态和茶树养分吸收具有深远影响,可实施合理耕作以提高土壤的养分供应能力,进而促进茶树生长和茶叶品质的提升。

不同耕作方式对3轮次春茶氮、磷、钾养分含量的影响
04耕作方式对3轮次春茶品质的影响
耕作方式可调节土壤养分的有效性,对茶树的生长和茶叶品质产生重要影响。
第1轮次春茶,优选机型深耕处理的茶多酚含量显著低于其他耕作处理,其酚氨比显著低于免耕处理,与之相反,优选机型深耕处理的咖啡碱含量显著高于其他耕作处理,游离氨基酸含量也高于其他处理但并无显著差异。
第2轮次春茶各耕作处理的茶多酚含量没有显著差异,而人工浅锄及人工挖沟处理的游离氨基酸含量显著高于免耕及优选机型深耕处理,因此对应酚氨比值低于免耕及优选机型深耕处理,且人工浅锄处理的咖啡碱含量较其他耕作处理呈现出增加的趋势。
在第3轮次春茶中,免耕处理的游离氨基酸含量显著高于人工浅锄及人工挖沟处理,但各处理间酚氨比无显著差异;优选机型深耕与人工挖沟处理咖啡碱含量高于人工浅锄及免耕处理,其中优选机型深耕处理与人工浅锄及免耕处理的咖啡碱含量差异达到显著水平。
这些结果表明,耕作方式的选择对于维持和优化春茶的品质具有重要作用,即通过精准的耕作管理可改善茶叶的整体品质。

不同耕作方式对3轮次春茶品质成分含量的影响
利用主成分分析(PCA),探究了不同耕作方式对茶园土壤物理性状与茶叶内含物质含量的影响,不同耕作方式对目标性状影响显著,优选机型深耕处理组对提升茶叶游离氨基酸和咖啡碱含量,以及提高土壤孔隙度、有效降低土壤容重具有重要作用,说明优选机型深耕可通过改善土壤物理性状提高茶叶内含物质含量。
05结论
耕作活动通过打破土壤结构,增加了土壤的通气性和透水性,从而缓解了土壤的板结状况。

与免耕或人工浅锄相比,优选机型深耕和人工挖沟处理虽然可能降低了土壤的持水能力,但它们却有效地增加了土壤的总孔隙度,降低了土壤容重,为茶树根系的生长和养分吸收创造了有利的条件。然而,耕作对茶叶品质的影响并非一成不变,例如,在第1轮次春茶中,优选机型深耕处理显著降低了一芽二叶茶多酚含量,而所有耕作方式都提升了其游离氨基酸含量。第2轮次春茶,人工挖沟及人工浅锄处理显著提高了游离氨基酸含量,但在第3轮次春茶中,所有耕作方式都导致了游离氨基酸含量的下降。因此,茶园耕作需要综合考虑耕作方式、耕作时间以及其他栽培技术,以实现最佳效果。需综合权衡耕作利弊,通过茶园合理耕作,改良茶园土壤、提升茶园地力,最终实现茶叶增产增收增效。
来源:中国茶叶,信息贵在分享,如涉及版权问题请联系删除
