行业资讯
饮茶知识
行业资讯
不同颜色包装膜对抹茶饼干色泽的影响研究
- 作者:
- 发布时间:2026-04-20 02:07:58
- 点击:
饼干是以面粉、油脂、糖为主要原料,以疏松剂、乳品、蛋品、食用香精等为辅料,经面团调制、辊轧、成型、烘烤、冷却、包装等工序制成的焙烤食品,其口感酥松、营养丰富、易于携带。抹茶是采用覆盖栽培的茶树鲜叶经蒸汽(或热风)杀青后、干燥制成的叶片为原料,经研磨工艺加工而成的微粉状产品。

▲抹茶饼干
抹茶含有丰富的营养物质,主要成分为茶多酚、咖啡碱、游离氨基酸、叶绿素和微量元素钾、钙、镁、铁、钠、锌、硒、氟等。随着消费者对营养健康食品需求的增长,抹茶类烘焙食品日益丰富。王燕以抹茶和蔓越莓为原料,添加至酥性饼干中,获得抹茶蔓越莓酥性饼干的最佳工艺和配方:低筋面粉100 g、黄油50 g、白砂糖30 g、抹茶4 g、蔓越莓20 g;烘烤温度上火170 ℃,下火175 ℃,烘烤时间14 min。廖素兰等通过响应面法优化得到抹茶锥栗豆渣曲奇的最佳配方,饼干口感酥脆,色泽翠绿,茶香和锥栗风味浓郁。郑丽娜等优化了抹茶全麦饼干的最佳配方。
对于抹茶烘焙食品来说色泽至关重要,是评价其品质的重要指标。但抹茶烘焙食品的色泽易受环境因素的影响而发生变化,光照就是其中重要因素之一。烘焙食品常用的包装材料主要包括塑料薄膜、纸张和箔纸等。包装材料的选择至关重要,能避免烘焙食品受外界环境因素的影响。但有关不同颜色包装对抹茶烘焙食品色泽的影响研究尚未见报道。
因此,文章主要研究了不同颜色包装膜对抹茶饼干贮藏过程中色泽的影响,结合包装的透光特性,探讨影响抹茶饼干色泽变化的原因,以期为抹茶饼干护色技术研发提供理论基础。
01材料与方法
1、材料与试剂
抹茶(一级),杭州径林茶业有限公司;黄油,Fonterra Co., Ltd.;糖粉,广州鑫丰焙食品有限公司;低筋面粉,广东金禾面粉有限公司;鸡蛋为市售。包装膜(PVC,210×297 mm,厚度0.3 mm),东莞市群美塑胶制品有限公司。
2、仪器与设备
JM-7LT搅拌机,徐州佳乐福机械有限公司;SEC-2Y烤箱,珠海市三麦机械有限公司;WS70分光测色仪,深圳市威福光电科技有限公司;TU-1901双光束紫外可见分光光度计,北京普析通用仪器有限责任公司。
3、实验方法
(1)抹茶饼干的制备
将75 g黄油室温软化,搅匀;加入60 g糖粉,搅匀;分两次加入15 g蛋液,搅匀;筛入115 g低筋面粉和3.5 g抹茶粉,揉匀;将面团放入铺有油纸的模具塑形压实,放入冰箱冷冻1 h;取出后切片,每片厚0.5 cm;于烤箱上火150 ℃、下火150 ℃烘烤20 min。
(2)包装膜透光率和最大波长的测定
参考罗淑芬等和李梅等的方法,剪取不同颜色包装膜小块(1.1 cm×4.5 cm)贴于比色皿上,以空气为对照,在可见光400~750 nm波长范围内扫描谱图。透光率(%)=10^(-吸光度)×100%
(3)抹茶饼干贮藏实验
抹茶饼干随机分组,放入两层不同颜色包装膜(红色、黄色、蓝色、绿色、粉色、紫色、橙色、茶色、荧黄色、深蓝色)中,四周固定,以无色透明包装膜(记为透明)和无包装膜(记为CK)为对照。将抹茶饼干置于自然光照的环境下(平均温度25 ℃,相对湿度30%)贮藏10d。根据饼干色泽变化规律,前期变化较快后期变化减缓,在第1、2、3、6、10d取样,对抹茶饼干的色差进行测定。

4、数据分析
色差实验均为6次重复,采用SPSS 20.0进行数据分析,p <0.05表示具有差异显著。

02结果与分析
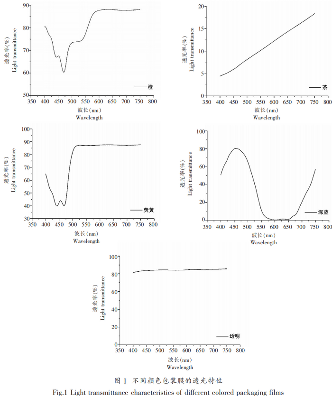
1、不同颜色包装膜的透光特性
不同颜色包装膜的透光特性如图1所示。红色包装膜透光波长区间在619~750 nm时,透光率高于90%;黄色包装膜在532~750 nm波长区间内透光率均高于80%;蓝色包装膜在波长400~532 nm内出现峰值,该波长范围内透光率高于60%,之后有波动,但透光率均低于60%;绿色包装膜在472~561 nm范围内透光率均高于60%,波长507 nm时透光率达到最大值84%,在波长大于742 nm时透光率又逐渐增加高于60%;粉色包装膜在400~437 nm和601~750 nm波长范围内透光率高于80%,其余波长条件下透光率低于80%;紫色包装膜的扫描图谱与粉色包装膜相似,在波长417~432 nm和680~750 nm时透光率高于80%;橙色包装膜在波长400~406 nm和558~750 nm范围内透光率高于80%;茶色包装膜的透光率随着波长的增加而增加,但最大透光率仅为18%;荧黄色包装膜在波长498~750 nm范围内透光率均高于80%;深蓝色包装膜在411~506 nm波长范围内透光率高于60%,波长457 nm时透光率最大达到80%;透明包装膜能透过各种光,对所有可见光透过率高于80%,且光波长越大,透过率越高,但变化较小。这说明不同颜色的包装膜的透光特性存在差异,除了透明包装膜,其余包装膜均存在透光率低于80%的波长区间。


2、不同颜色包装膜对抹茶饼干色泽的影响
色差的L*值代表样品的明亮度,值越大说明明亮度越高;a*值代表红-绿度,正数说明样品偏红,负数说明样品偏绿;b*值代表黄-蓝度,正数说明样品偏黄,负数说明样品偏蓝。不同颜色包装膜对抹茶饼干贮藏过程中色泽的影响如图2所示。随着贮藏时间的延长,抹茶饼干的色差L*和a*逐渐增加,b*逐渐降低。总体而言,透明包装膜对抹茶饼干色泽的影响与空白对照相近,而茶色包装膜能较好地延缓抹茶饼干色差L*和a*的增加,b*的降低。


对于色差L*值来说,在贮藏第10d时,抹茶饼干色差L*值的排序为CK>黄色>粉色>透明>橙色>荧黄色>紫色>绿色>蓝色>红色>深蓝色>茶色,其中茶色包装膜中抹茶饼干的L*值比空白对照降低了11.24%。
a*值是抹茶氧化变质程度的重要评价指标,a*值越小表明抹茶的色泽越绿。色差a*值的增加说明抹茶饼干的绿色度减少。研究报道抹茶蛋卷在贮藏过程中色差a*值也呈现逐渐上升的趋势。廖珺等研究也发现绿茶面包的a*值缓慢增加,绿茶面包由黄绿色逐渐变成黄色隐绿。在贮藏第10d时,抹茶饼干色差a*值的排序为CK>透明>荧黄色>粉色>橙色>黄色>紫色>红色>深蓝色>绿色>蓝色>茶色。第10d时,色差a*值的变化大致可以分为四组:第一组为茶色包装膜(a*值为-1.59),第二组为蓝色、绿色和深蓝色包装膜(a*值为-1.23~-0.94),第三组为红色、紫色、黄色、橙色、粉色和荧黄色包装膜(a*值为-0.61~-0.39),第四组为透明包装膜和空白对照(a*值分别为-0.15和-0.08)。
在整个贮藏过程中,色差b*值的变化可大致分为三组,第一组为茶色包装膜(b*值为33.38),第二组为红色、深蓝色、黄色、绿色和蓝色包装膜(b*值为23.15~25.25),第三组为荧黄色、橙色、粉色、空白对照、透明和紫色包装膜(b*值为21.14~22.02)。在贮藏第10d时,抹茶饼干色差b*值的排序为紫色<透明<CK<粉色<橙色<荧黄色<蓝色<绿色<黄色<深蓝色<红色<茶色。
叶绿素是构成抹茶饼干绿色的主要色素物质,但其稳定性差,在光和热的作用下,易发生置换和分解反应,使翠绿色的叶绿素脱镁变成褐色的脱镁叶绿素。已有研究表明不同波长单色光对叶绿素的破坏作用存在差异,紫外线对叶绿素的破坏作用最大,可见光区的蓝光(430 nm和470 nm)和红光(650 nm)对叶绿素降解作用次之,红外线的破坏作用较小。可见光区中的蓝光和红光是导致叶绿素降解速率最快的单色光。此外,研究表明被叶绿素吸收程度最大的单色光也是促进叶绿素降解速率最快的单色光。叶绿素强烈吸收蓝紫区(400~500 nm)和红光区(620~700 nm)的光线,不吸收绿光区(520~580 nm)的光线,因此,这也说明蓝紫区和红光区对叶绿素的降解影响较大,而绿光区影响小。
针对色差a*值,茶色包装膜中抹茶饼干的色泽稳定性较好,主要是因为其在蓝紫区(400~500 nm)和红光区(620~700 nm)透光率均较低。其次为蓝色、绿色和深蓝色包装膜,其在蓝紫区(400~500 nm)的透光率较高,在红光区(620~700 nm)透光率较低,这说明抹茶饼干中叶绿素的变化主要与红光区有关。第三组为红色、紫色、黄色、橙色、粉色和荧黄色包装膜,其在红光区的透光率均较高,除紫色包装膜外透光率均高于80%。红色包装膜与紫色包装膜相比较,红色包装膜在红光区的透光率高于紫色包装膜,而蓝紫区则相反,这表明蓝紫区和红光区均影响抹茶饼干的色差a*值。红色包装膜在蓝紫区的透光率低于12%,但红色包装膜中的抹茶饼干a*值高于蓝色、绿色和深蓝色包装膜中的饼干,这也说明蓝紫区光线对抹茶饼干色差a*值的影响较小,红光区的影响较大。因此,建议在抹茶烘焙食品的包装材料上可采用将蓝紫区和红光区光线滤除的包装材料以减少光照对其色泽的影响。
03结 论
文章研究了不同颜色包装膜对抹茶饼干贮藏过程中色泽的影响。不同颜色包装膜的透光特性存在差异,与波长区间有关。随着贮藏时间的延长,抹茶饼干的色差L*和a*逐渐增加,b*逐渐降低,说明贮藏过程中,抹茶饼干的色泽发生变化。
茶色包装膜能较好地延缓抹茶饼干色差L*和a*的增加,b*的降低。针对色差a*值,茶色包装膜中抹茶饼干的色泽稳定性较好,其次为蓝色、绿色和深蓝色包装膜,蓝紫区和红光区均影响抹茶饼干的色差a*值,其中蓝紫区光线对a*值的影响较小,红光区的影响较大。因此,建议可采用将蓝紫区和红光区光线滤除的包装材料以减少光照对抹茶饼干色泽的影响。
作者简介:
中华全国供销合作总社杭州茶叶研究所副研究员,从事茶食品技术研究。工作以来,主持或参与科研项目10余项,发表论文20余篇,其中SCI 10篇,授权发明专利2项、实用新型专利2项,获中国商业联合会科学技术奖特等奖、中国商业联合会科学技术奖一等奖、首届中国茶科技创新大赛二等奖。
基金项目:浙江省团队科技特派员项目
具体内容详见《中国茶叶加工》杂志,2025年第1期文章《不同颜色包装膜对抹茶饼干色泽的影响》,页码:12-17,作者:潘俊娴,叶丽伟,吕杨俊,蒋玉兰,王霈菲,朱跃进,方育敏,王剑,张士康*。
引用格式:潘俊娴,叶丽伟,吕杨俊,等. 不同颜色包装膜对抹茶饼干色泽的影响[J]. 中国茶叶加工, 2025(1):12-17.
